切换至 "中华医学电子期刊资源库"

中华神经创伤外科电子杂志 ›› 2026, Vol. 12 ›› Issue (01) : 30 -38. doi: 10.3877/cma.j.issn.2095-9141.2026.01.005

临床研究

可溶性膳食纤维对重症脑出血患者肠道微生态的影响
冯毅1, 贾耿1, 陈璐2, 秦华平1, 杨常春1, 邵耐远1, 彭亚1,()   
  1. 1213003 江苏常州,常州市第一人民医院神经外科
    2213003 江苏常州,常州市第一人民医院临床营养科
  • 收稿日期:2024-11-18 出版日期:2026-02-15
  • 通信作者: 彭亚

Effects of soluble dietary fiber on intestinal microecology in patients with severe cerebral hemorrhages

Yi Feng1, Geng Jia1, Lu Chen2, Huaping Qin1, Changchun Yang1, Naiyuan Shao1, Ya Peng1,()   

  1. 1Department of Neurosurgery, Changzhou First People's Hospital, Changzhou 213003, China
    2Department of Clinical Nutrition, Changzhou First People's Hospital, Changzhou 213003, China
  • Received:2024-11-18 Published:2026-02-15
  • Corresponding author: Ya Peng
  • Supported by:
    Clinical Research Special Fund of Wu Jieping Medical Foundation(320.6750.2022-02-36)
引用本文:

冯毅, 贾耿, 陈璐, 秦华平, 杨常春, 邵耐远, 彭亚. 可溶性膳食纤维对重症脑出血患者肠道微生态的影响[J/OL]. 中华神经创伤外科电子杂志, 2026, 12(01): 30-38.

Yi Feng, Geng Jia, Lu Chen, Huaping Qin, Changchun Yang, Naiyuan Shao, Ya Peng. Effects of soluble dietary fiber on intestinal microecology in patients with severe cerebral hemorrhages[J/OL]. Chinese Journal of Neurotraumatic Surgery(Electronic Edition), 2026, 12(01): 30-38.

目的

探讨富含可溶性膳食纤维(SDF)的肠内营养制剂对重症脑出血患者肠道微生态的影响。

方法

前瞻性纳入2023年3月至2024年8月常州市第一人民医院神经外科重症监护室收治的重症脑出血患者为研究对象。采用随机数字表法将患者分为SDF组(接受含SDF的肠内营养制剂)与Non-SDF组(接受不含SDF的肠内营养制剂)。肠内营养干预7 d后采集粪便样本进行宏基因组测序,比较2组患者肠道菌群多样性与组成差异;采用线性判别分析(LEfSe)筛选组间差异菌,随机森林模型评估差异菌的特征重要性,以筛选潜在生物标志物;采用典范对应分析(CCA)法分析菌群与临床指标的相关性。

结果

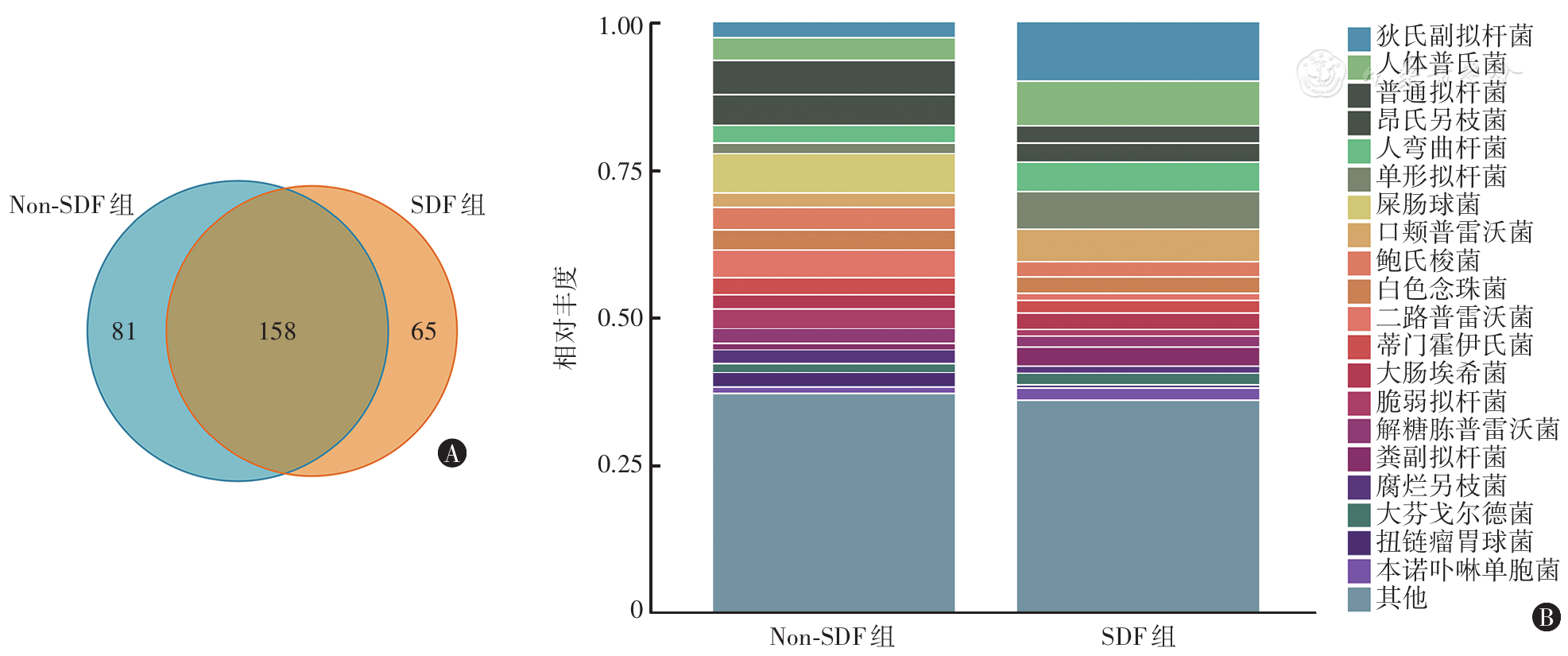
本组共纳入42例重症脑出血患者,其中SDF组18例,Non-SDF组24例。2组患者肠道菌群α多样性与β多样性比较,差异均无统计学意义(P>0.05)。与Non-SDF组相比,SDF组粪副拟杆菌相对丰度升高(P=0.025),屎肠球菌相对丰度降低(P=0.042)。LEfSe分析显示,在种水平上最终识别到6个判别性生物标志物,其中4个在SDF组中富集,包括粪居拟杆菌、粪副拟杆菌、史氏甲烷短杆菌和戈尔巴奇嗜胨菌;2个在Non-SDF组中富集,包括屎肠球菌和着色霍氏菌。随机森林模型分析显示,粪副拟杆菌在随机森林模型的置换重要性和Gini系数重要性排序中均显示最高重要性。CCA分析显示,狄氏副拟杆菌、脆弱拟杆菌与神经功能损伤及意识水平下降相关,解糖胨普雷沃菌、大肠埃希氏菌与免疫反应及炎症过程相关。

结论

SDF肠内营养干预7 d未显著改变重症脑出血患者肠道菌群整体多样性,但可选择性调节关键菌种丰度,且部分菌种丰度与神经功能/意识状态及免疫炎症指标具有相关性。

Objective

To investigate the effect of enteral nutrition preparations rich in soluble dietary fiber (SDF) on the gut microbiota of patients with severe cerebral hemorrhage.

Methods

Prospective inclusion of severe cerebral hemorrhage patients admitted to the Neurosurgery Intensive Care Unit of Changzhou First People's Hospital from March 2023 to August 2024 as the study subjects. Using a random number table, patients were divided into an SDF group (receiving enteral nutrition preparations containing SDF) and a Non-SDF group (receiving enteral nutrition preparations without SDF). After 7 d of enteral nutrition intervention, fecal samples were collected for metagenomic sequencing to compare the differences in gut microbiota diversity and composition between two groups of patients; Linear discriminant analysis (LEfSe) was used to screen for inter group differential bacteria, and a random forest model was used to evaluate the feature importance of differential bacteria in order to screen for potential biomarkers; canonical correspondence analysis (CCA) was used to analyze the correlation between microbiota and clinical indicators.

Results

A total of 42 patients with severe cerebral hemorrhage were included in this group, including 18 cases in the SDF group and 24 cases in the Non-SDF group. There was no statistically significant difference in the α and β diversity of gut microbiota between the two groups of patients (P>0.05). Compared with the Non-SDF group, the SDF group showed an increase in the relative abundance of Fecal pseudomonas (P=0.025) and a decrease in the relative abundance of Escherichia coli (P=0.042). LEfSe analysis showed that six discriminative biomarkers were ultimately identified at the species level, of which four were enriched in the SDF group, including Bacteroides faecalis, Fecal pseudomonas, Methanobacterium faecalis, and Streptococcus pyogenes; Two were enriched in the Non-SDF group, including Enterococcus faecalis and Vibrio cholerae. Random forest model analysis showed that Fecal pseudomonas had the highest importance in both permutation importance and Gini coefficient importance ranking in the random forest model. CCA analysis showed that Pseudomonas aeruginosa and Bacteroidetes fragilis were associated with neurological damage and decreased levels of consciousness, while Pseudomonas aeruginosa and Escherichia coli were associated with immune response and inflammatory processes.

Conclusions

SDF enteral nutrition intervention for 7 d did not significantly change the overall diversity of gut microbiota in patients with severe cerebral hemorrhage, but it can selectively regulate the abundance of key bacterial species, and some bacterial species abundance is significantly correlated with neurological function/consciousness status and immune inflammatory indicators.

表1 2组重症脑出血患者基线资料比较
Tab.1 Comparison of baseline data between two groups of severe cerebral hemorrhage patients
图1 2组重症脑出血患者的肠道菌群多样性分析A~D:α多样性分析;A:Ace指数;B:Chao指数;C:Shannon指数;D:Simpson指数;E~F:β多样性分析;E:PCA分析;F:PCoA分析;SDF:水溶性膳食纤维
Fig.1 Analysis of gut microbiota diversity in two groups of patients with severe cerebral hemorrhage
图2 2组重症脑出血患者肠道菌群物种组成分析A:种水平物种分布韦恩图;B:相对丰度排名前20物种的堆叠柱状图;SDF:水溶性膳食纤维
Fig.2 Analysis of species composition of gut microbiota in two groups of patients with severe cerebral hemorrhage
图3 2组重症脑出血患者肠道菌群差异物种分析A:种水平上丰度差异物种分析;B:LEfSe分析柱状图(物种前的字母代表分类水平:k,界水平;p,门水平;c,纲水平;o,目水平;f,科水平;g,属水平;s,种水平);C:基于所有物种构建的随机森林模型ROC曲线;D~E:变量置换重要性(D)和基于Gini系数的重要性(E)评估排序图;SDF:水溶性膳食纤维;LEfSe:线性判别分析;ROC:受试者工作特征;AUC:曲线下面积
Fig.3 Species analysis of gut microbiota differences in two groups of patients with severe cerebral hemorrhage
图4 重症脑出血患者临床指标与肠道菌群相对丰度的CCA分析
Fig.4 CCA analysis of clinical indicators and relative abundance of gut microbiota in patients with severe cerebral hemorrhage
表2 临床指标与肠道菌群相对丰度的相关性分析
Tab.2 Correlation analysis between clinical indicators and relative abundance of gut microbiota
[1]
Gabriele F, Foschi M, Conversi F, et al. Epidemiology and outcomes of intracerebral hemorrhage associated with oral anticoagulation over 10 years in a population-based stroke registry[J]. Int J Stroke, 2024, 19(5): 515-525. DOI: 10.1177/17474930231218594.
[2]
McClave SA, Taylor BE, Martindale RG, et al. Guidelines for the provision and assessment of nutrition support therapy in the adult critically Ⅲ patient: Society of Critical Care Medicine (SCCM) and American Society for Parenteral and Enteral Nutrition (A.S.P.E.N.)[J]. JPEN J Parenter Enteral Nutr, 2016, 40(2): 159-211. DOI: 10.1177/0148607115621863.
[3]
Hill TL. Gastrointestinal tract dysfunction with critical Illness: clinical assessment and management[J]. Top Companion Anim Med, 2019, 35: 47-52. DOI: 10.1053/j.tcam.2019.04.002.
[4]
Elsasser TH, Faulkenberg S. Physiology of gut water balance and pathomechanics of diarrhea[M]. Cham: Springer, 2024: 179-209.
[5]
Xu T, Wu X, Liu J, et al. The regulatory roles of dietary fibers on host health via gut microbiota-derived short chain fatty acids[J]. Curr Opin Pharmacol, 2022, 62: 36-42. DOI: 10.1016/j.coph.2021.11.001.
[6]
Reider SJ, Moosmang S, Tragust J, et al. Prebiotic effects of partially hydrolyzed guar gum on the composition and function of the human microbiota-results from the PAGODA trial[J]. Nutrients, 2020, 12(5): 1257. DOI: 10.3390/nu12051257.
[7]
Pi XE, Fu H, Yang XX, et al. Bacterial, short-chain fatty acid and gas profiles of partially hydrolyzed guar gum in vitro fermentation by human fecal microbiota[J]. Food Chem, 2024, 430: 137006. DOI: 10.1016/j.foodchem.2023.137006.
[8]
Giannini EG, Mansi C, Dulbecco P, et al. Role of partially hydrolyzed guar gum in the treatment of irritable bowel syndrome[J]. Nutrition, 2006, 22(3): 334-342. DOI: 10.1016/j.nut.2005.10.003.
[9]
Wozniak H, Beckmann TS, Fröhlich L, et al. The central and biodynamic role of gut microbiota in critically ill patients[J]. Crit Care, 2022, 26(1): 250. DOI: 10.1186/s13054-022-04127-5.
[10]
Lu X, Liu J, Zhou B, et al. Microbial metabolites and heart failure: friends or enemies?[J]. Front Microbiol, 2022, 13: 956516. DOI: 10.3389/fmicb.2022.956516.
[11]
Strain R, Tran TTT, Mills S, et al. A pilot study of dietary fibres on pathogen growth in an ex vivo colonic model reveals their potential ability to limit vancomycin-resistant enterococcus expansion[J]. Microbiome Res Rep, 2023, 2(3): 22. DOI: 10.20517/mrr.2022.14.
[12]
Bengmark S. Synbiotics to strengthen gut barrier function and reduce morbidity in critically ill patients[J]. Clin Nutr, 2004, 23(4): 441-445. DOI: 10.1016/j.clnu.2004.01.005.
[13]
Azuma H, Mishima S, Oda J, et al. Enteral supplementation enriched with glutamine, fiber, and oligosaccharide prevents gut translocation in a bacterial overgrowth model[J]. J Trauma, 2009, 66(1): 110-114. DOI: 10.1097/TA.0b013e318193109b.
[14]
Satoh H, Hara T, Murakawa D, et al. Soluble dietary fiber protects against nonsteroidal anti-inflammatory drug-induced damage to the small intestine in cats[J]. Dig Dis Sci, 2010, 55(5): 1264-1271. DOI: 10.1007/s10620-009-0893-2.
[15]
张艳军.不同膳食纤维对重型颅脑损伤患者肠屏障的影响[J].河北医科大学学报, 2010, 31(5): 570-572. DOI: 10.3969/j.issn.1007-3205.2010.05.027.
[16]
曹敏,雷光鸿,米运宏,等.低聚果糖的研究进展[J].轻工科技, 2017, 33(3): 19-21+26.
[17]
Park JS, Lee EJ, Lee JC, et al. Anti-inflammatory effects of short chain fatty acids in IFN-gamma-stimulated RAW 264.7 murine macrophage cells: involvement of NF-kappaB and ERK signaling pathways[J]. Int Immunopharmacol, 2007, 7(1): 70-77. DOI: 10.1016/j.intimp.2006.08.015.
[18]
Vinolo MA, Rodrigues HG, Hatanaka E, et al. Suppressive effect of short-chain fatty acids on production of proinflammatory mediators by neutrophils[J]. J Nutr Biochem, 2011, 22(9): 849-855. DOI: 10.1016/j.jnutbio.2010.07.009.
[19]
McDole JR, Wheeler LW, McDonald KG, et al. Goblet cells deliver luminal antigen to CD103+ dendritic cells in the small intestine[J]. Nature, 2012, 483(7389): 345-349. DOI: 10.1038/nature10863.
[20]
Lelouard H, Fallet M, de Bovis B, et al. Peyer's patch dendritic cells sample antigens by extending dendrites through m cell-specific transcellular pores[J]. Gastroenterology, 2012, 142(3): 592-601.e593. DOI: 10.1053/j.gastro.2011.11.039.
[21]
Edelman M, Wang Q,Ahnen R, et al. The dose response effects of partially hydrolyzed guar gum on gut microbiome of healthy adults[J]. Applied Microbiology, 2024, 4(2): 720-730. DOI: 10.3390/applmicrobiol4020049.
[22]
Kapoor MP, Koido M, Kawaguchi M, et al. Lifestyle related changes with partially hydrolyzed guar gum dietary fiber in healthy athlete individuals—A randomized, double-blind, crossover, placebo-controlled gut microbiome clinical study[J]. J Funct Foods, 2020, 72: 104067. DOI: 10.1016/j.jff.2020.104067.
[23]
Rosli D, Shahar S, Manaf ZA, et al. Randomized controlled trial on the effect of partially hydrolyzed guar gum supplementation on diarrhea frequency and gut microbiome count among pelvic radiation patients[J]. JPEN J Parenter Enteral Nutr, 2021, 45(2): 277-286. DOI: 10.1002/jpen.1987.
[24]
Zhou X, Willems RJL, Friedrich AW, et al. Enterococcus faecium: from microbiological insights to practical recommendations for infection control and diagnostics[J]. Antimicrob Resist Infect Control, 2020, 9(1): 130. DOI: 10.1186/s13756-020-00770-1.
[25]
Xu W, Zou K, Zhan Y, et al. Enterococcus faecium GEFA01 alleviates hypercholesterolemia by promoting reverse cholesterol transportation via modulating the gut microbiota-SCFA axis[J]. Frontiers in Nutrition, 2022, 9: 1020734. DOI: 10.3389/fnut.2022.1020734..
[26]
Gallardo-Becerra L, Cornejo-Granados F, García-López R, et al. Metatranscriptomic analysis to define the Secrebiome, and 16S rRNA profiling of the gut microbiome in obesity and metabolic syndrome of Mexican children[J]. Microb Cell Fact, 2020, 19(1): 61. DOI: 10.1186/s12934-020-01319-y.
[27]
Shapiro J, Cohen NA, Shalev V, et al. Psoriatic patients have a distinct structural and functional fecal microbiota compared with controls[J]. J Dermatol, 2019, 46(7): 595-603. DOI: 10.1111/1346-8138.14933.
[28]
Li M, Liu S, Wang M, et al. Gut microbiota dysbiosis associated with bile acid metabolism in neonatal cholestasis disease[J]. Sci Rep, 2020, 10(1): 7686. DOI: 10.1038/s41598-020-64728-4.
[29]
Moreno-Arrones OM, Serrano-Villar S, Perez-Brocal V, et al. Analysis of the gut microbiota in alopecia areata: identification of bacterial biomarkers[J]. J Eur Acad Dermatol Venereol, 2020, 34(2): 400-405. DOI: 10.1111/jdv.15885.
[30]
Huang R, Li F, Zhou Y, et al. Metagenome-wide association study of the alterations in the intestinal microbiome composition of ankylosing spondylitis patients and the effect of traditional and herbal treatment[J]. J Med Microbiol, 2020, 69(6): 797-805. DOI: 10.1099/jmm.0.001107.
[31]
Qiao S, Liu C, Sun L, et al. Gut parabacteroides merdae protects against cardiovascular damage by enhancing branched-chain amino acid catabolism[J]. Nat Metab, 2022, 4(10): 1271-1286. DOI: 10.1038/s42255-022-00649-y.
[32]
Zhu J, Yin J, Chen J, et al. Integrative analysis with microbial modelling and machine learning uncovers potential alleviators for ulcerative colitis[J]. Gut Microbes, 2024, 16(1): 2336877. DOI: 10.1080/19490976.2024.2336877.
[33]
Yan Q, Gu Y, Li X, et al. Alterations of the gut microbiome in hypertension[J]. Front Cell Infect Microbiol, 2017, 7: 381. DOI: 10.3389/fcimb.2017.00381.
[34]
Chu W, Han Q, Xu J, et al. Metagenomic analysis identified microbiome alterations and pathological association between intestinal microbiota and polycystic ovary syndrome[J]. Fertil Steril, 2020, 113(6): 1286-1298.e4. DOI: 10.1016/j.fertnstert.2020.01.027.
[35]
龚凌霄,刘飞越,方芳,等.膳食纤维在胃肠道功能紊乱综合征中的作用研究进展[J].中国食品学报, 2023, 23(6): 385-401. DOI: 10.16429/j.1009-7848.2023.06.038.
[36]
刘畅,吴慧,范恒.饮食疗法通过肠道菌群治疗溃疡性结肠炎的机制研究进展[J].世界华人消化杂志, 2021, 29(3): 146-151. DOI: 10.11569/wcjd.v29.i3.146.
[37]
David LA, Maurice CF, Carmody RN, et al. Diet rapidly and reproducibly alters the human gut microbiome[J]. Nature, 2014, 505(7484): 559-563. DOI: 10.1038/nature12820.
[38]
Holscher HD. Dietary fiber and prebiotics and the gastrointestinal microbiota[J]. Gut Microbes, 2017, 8(2): 172-184. DOI: 10.1080/19490976.2017.1290756.
[1] 何玮, 张望琳, 孙立群. 脓毒性休克患者不同剂量去甲肾上腺素与肠内营养实施的相关性研究[J/OL]. 中华危重症医学杂志(电子版), 2025, 18(03): 204-214.
[2] 徐霞, 胡佳民, 黄丽萍, 承龙, 张书流, 赵炜炜, 顾盼盼, 曹铖. 老年重症患者早期肠内营养喂养不耐受现况及风险预测列线图的构建与验证[J/OL]. 中华危重症医学杂志(电子版), 2025, 18(01): 11-17.
[3] 孙加奎, 李晶晶, 周学慧, 邓一航, 顾海雷, 阚小华, 袁受涛, 王翔. 超声引导非螺旋型鼻肠管置入技术在重症患者中的应用[J/OL]. 中华危重症医学杂志(电子版), 2024, 17(02): 140-144.
[4] 费继宏, 刘思嘉, 刘云建. 肠道微生态与原发性肝癌关系的研究进展[J/OL]. 中华普通外科学文献(电子版), 2025, 19(05): 347-350.
[5] 王婷文, 黄家晴, 卞晓洁, 陆晓峰, 管文贤. 基于CiteSpace和VOSviewer对胃肠道恶性肿瘤患者肠内免疫营养支持的文献计量分析[J/OL]. 中华普外科手术学杂志(电子版), 2025, 19(06): 693-697.
[6] 肖攀云, 吴晓玲, 郝晓敏, 卫飞飞, 杨薇. 贝达喹啉合并肠内营养支持治疗对57例耐多药肺结核的疗效分析[J/OL]. 中华肺部疾病杂志(电子版), 2026, 19(01): 106-111.
[7] 陈佩玥, 董芸, 邓大炜, 龚财芳, 赵俊宇, 游川. 肝癌围手术期营养风险筛查和肠内营养支持研究进展[J/OL]. 中华肝脏外科手术学电子杂志, 2025, 14(04): 631-635.
[8] 龚财芳, 赵俊宇, 游川. 围手术期肠内营养在肝癌肝切除患者中有效性及安全性的Meta分析[J/OL]. 中华肝脏外科手术学电子杂志, 2024, 13(04): 551-556.
[9] 何睿, 刘昀坤, 孙陈, 田宏亮. 肠道微生态疗法在结直肠肿瘤治疗中的应用[J/OL]. 中华结直肠疾病电子杂志, 2026, 15(01): 67-71.
[10] 肖洋洋, 崔佳瞿, 黄作喜, 李坚, 廖传文. 肠道微生态在放射性肠炎及其治疗中的研究进展[J/OL]. 中华结直肠疾病电子杂志, 2025, 14(02): 174-178.
[11] 沈基, 刘威, 陈红宇, 詹心萍, 卢梦诗, 马加威, 嵇丹丹, 罗亮. 休克状态下早期肠内营养发生非闭塞性肠系膜缺血的风险与预防现状[J/OL]. 中华重症医学电子杂志, 2025, 11(01): 95-99.
[12] 郎伟宁, 郝旭东, 张培霞. 布拉氏酵母菌散联合蒙脱石散治疗诺如病毒肠炎的疗效及对肠道微生态的影响[J/OL]. 中华消化病与影像杂志(电子版), 2026, 16(02): 185-189.
[13] 王倩, 李登峰, 田永春, 李秀玲, 王蕊. 复方嗜酸乳杆菌片联合蒙脱石散对轮状病毒肠炎患儿腹泻症状及肠道微生态的影响[J/OL]. 中华消化病与影像杂志(电子版), 2025, 15(03): 277-281.
[14] 宋燕秋, 戚桂艳, 杨双双, 周萍. 重症急性胰腺炎肠道菌群特征及早期肠内营养联合微生态制剂治疗的临床价值[J/OL]. 中华消化病与影像杂志(电子版), 2024, 14(05): 442-447.
[15] 潘赛波, 韩佳, 吴明, 于振涛. 食管癌患者围手术期肠内营养置管及通路管理专家共识[J/OL]. 中华胸部外科电子杂志, 2026, 13(01): 1-13.
阅读次数
全文


摘要


AI


AI小编
你好!我是《中华医学电子期刊资源库》AI小编,有什么可以帮您的吗?